|
|||||||||||||||||||||||||
|
|||||||||||||||||||||||||
![]() |
|||||||||||||||||||||||||
|
|||||||||||||||||||||||||
| Projekt: Bandpass Filter 2m - 145 MHz | |||||||||||||||||||||||||
| Kontakt: |
|||||||||||||||||||||||||
| Einleitende Worte | |||||||||||||||||||||||||
|
|||||||||||||||||||||||||
| Vorlage war das Design im RSGB "VHF-UHF Manual", vierte Ausgabe 1985. Das Filter hat eine geringe Einfügedämpfung und unterdrückt die nicht erwünschten Frequenzen ausreichend. Angeregt zum Nachbau wurde ich auch von einem Artikel im CQ-TV No.250 Winter 2015, Seite 28. |
|||||||||||||||||||||||||
|
|||||||||||||||||||||||||
| Schaltungsskizze | |||||||||||||||||||||||||
|
|||||||||||||||||||||||||
![]() |
|||||||||||||||||||||||||
|
|||||||||||||||||||||||||
| Die Anordnung der Bauteile, siehe aufgebautes Bandpassfilter. In der linken und rechten Boxenkammer befinden sich jeweils 2 klassische Parallelschwingkreise L1 & L2 bzw. L3 & L4 mit loser induktiver Kopplung. Diese sind über einen Kondensator Cx mit sehr geringer Kapazität gekoppelt. Kleinere Werte erhöhen die Filterschärfe aber auch die Dämpfung. Der 50 Ω Eingang und Ausgang werden jeweils durch einen Abgriff am kalten Ende der Spule realisiert. |
|||||||||||||||||||||||||
| Skizzierter Aufbauvorschlag | |||||||||||||||||||||||||
|
|||||||||||||||||||||||||
![]() |
|||||||||||||||||||||||||
|
|||||||||||||||||||||||||
Angaben zum praktischen Filteraufbau:
|
|||||||||||||||||||||||||
|
|||||||||||||||||||||||||
![]() |
|||||||||||||||||||||||||
|
|||||||||||||||||||||||||
| Aufgebautes Bandpassfilter und ein paar Details | |||||||||||||||||||||||||
|
|||||||||||||||||||||||||
![]() |
|||||||||||||||||||||||||
|
|||||||||||||||||||||||||
Trimmkondensatoren: Beim Einsatz der Trimmer 8205 ist zu beachten, dass die Einstellschraube auf der Unterseite etwas übersteht. Um ein Masseschluss mit der Grundplatine zu verhindern, muss ein Abstand vorgesehen werden. Ich habe eine ca. 2 mm dicke Isolierscheibe aus Plastik unter den Trimmer gelegt.Dieser Luft-Trimmer 8205 wurde damals bei der UFS600/601 in der Endstufe eingesetzt, kann in der Kapazität von 2.5 - 12.5 pF verändert werden und hat einen Ø von 12 mm. |
|||||||||||||||||||||||||
|
|||||||||||||||||||||||||
| Koppelkondensator Cx: Die Suche nach einem geeigneten 0.2 bis 0.4 pF Kondensator zur Kopplung zwischen den beiden Abschnitten war nicht einfach, so dass ich ein kurzes Stück Volldraht, an den in der Skizze gekennzeichneten Punkt x gelötet habe. Der optimale Kapazitätswert kann nur durch Probieren ermittelt werden. Der Koppelkondensator Cx besteht aus einem einfachen 1 mm starken und ca. 40 mm langen versilberten Draht, der durch die Trennwand geführt wurde. Dazu wurde ein Loch von ca. 4 mm Durchmesser an der markierten Stelle in das Abschirmblech zwischen den beiden Kammerabschnitten gebohrt. Der versilberte Draht wurde durch das Loch gesteckt und entlang des zweiten Abschnitts parallel zu L3 geführt, um die optimale Kopplungsstärke zu erreichen, die durch ein Verschieben und biegen des Drahtes eingestellt werden kann. Das Drahtende kann auch versuchsweise als ½ oder 1 Wicklung geformt werden. Mit der Drahtlänge und dem Abstand zu L3 ist experimentell die beste Kopplung einzustellen. |
|||||||||||||||||||||||||
|
|||||||||||||||||||||||||
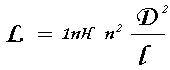
| Spulen: Der Draht sollte vorher gestreckt werden. Dazu einfach ein Drahtende in den Schraubstock einspannen und dran moderat ziehen bzw. über einen runden Dorn strecken. Dann folgt der Draht jeder Biegung und verformt sich nicht mehr zurück. Die vier Spulen wurden auf einem 8 mm Bohrerschaft eng und straff unter Zug gewickelt. Spanne dazu das Ende eines ca. 220 mm langen Drahts in einen Schraubstock. Nachdem die Spulen geformt und aus dem Bohrerschaft herausgezogen wurden, vergrößerte sich der Innendurchmesser der Spulen etwas, das aber vernachlässigbar ist. Der Feinabgleich folgt ja noch. Alle vier Spulen sind gleich aufzubauen. Durch Auseinanderziehen oder Zusammendrücken kannst du die Induktivität verringern bzw. erhöhen. Das macht den Abgleich der Spulen sehr einfach. Wir sprechen hier von einer Induktivität von ca. 0.2 μH. Um auf eine Frequenz von ca. 145.425 zu kommen ist der Trimmkondensator bei etwa 7 pF einzudrehen. Die Spulen haben einen Abstand von ca. 7 mm von der unteren Massefläche. Dieser Abstand hat Einfluss auf die Streukapazität zum Gehäuse. Also entsprechend Abstand zum Gehäuseboden einhalten. |
|||||||||||||||||||||||||
| Berechnungsformel für Überschlagsrechnung | |||||||||||||||||||||||||
|
|||||||||||||||||||||||||
| Allgemein gilt, dass bei einer kurzen Spule mit gleicher Windungszahl die magnetische Kopplung zwischen den einzelnen Windungen steigt, womit sich eine höhere Induktivität ergibt. Umgekehrt verkleinert ein Auseinanderziehen der Windungen die Induktivität. Mit dieser "Technik" gleicht man die Spulen ab. In der Praxis hängt die genaue Induktivität auch geringfügig von der Drahtdicke und vom Einbau der Spule ab, so dass oft ohnehin noch ein Feinabgleich nötig ist. Daher ist das Ergebnis der Berechnung ausreichend genau. Der Windungsabstand sollte bei UKW-Spulen nicht kleiner als der Drahtdurchmesser sein, damit die Spulenkapazität klein bleibt. Das Ergebnis einer allgemeingültigen Formel für die Berechnung von Luftspulen gibt dir einen Näherungswert, mit dem du arbeiten kannst. Ein nicht zu unterschätzender Unsicherheitsfaktor ist die "Verformung" der Spule. Trage deine Werte in die Eingabefenster und du erhält jeweils die Induktivität bzw. Frequenz. Punkt ist Trennungszeichen, kein Komma! |
|||||||||||||||||||||||||
|
|||||||||||||||||||||||||
|
|||||||||||||||||||||||||
|
|
|||||||||||||||||||||||||
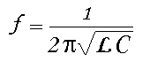
| Die Resonanzfrequenz hängt von der Induktivität der Spule und von der Kapazität des Kondensators ab. Zur näherungsweisen Berechnung dient die folgende Formel. | |||||||||||||||||||||||||
|
|
|||||||||||||||||||||||||
|
|||||||||||||||||||||||||
| Vielleicht hilft dir. |
|||||||||||||||||||||||||
| Hinweise | |||||||||||||||||||||||||
|
|||||||||||||||||||||||||
| Die Berechnungsgrundlagen für ein solches Bandpassfilter können sicher in der entsprechenden Literatur nachgelesen werden. Hier sollte aber die Praxis im Vordergrund stehen und dann ist schon mal eine geringe abweichende Orientierung zwischen Theorie und Praxis zu akzeptieren. Eine Luftspule exakt zu berechnen ist nicht so einfach. Zwar gibt es Formeln, mit denen man brauchbare Resultate erzielen kann, in der Praxis reicht es für die meisten Anwendungen aus, wenn man eine Luftspule mit 5-8 % Toleranz berechnen kann. Ein einfacher Schwingkreis wird meistens mit einem Trimmkondensator abgeglichen, so dass die Abweichung der Spule beim Optimieren wieder ausgleichen werden kann. Es wurden verschiedene Dinge ausprobiert und Erfahrungen gesammelt. Das betrifft z.B. den Drahtdurchmesser, die Spulenlänge und Spreizung der Windungen, der Abstand zwischen den Spulen und deren Abstand zu der Grundplatine und den Außenwänden. |
|||||||||||||||||||||||||
|
|||||||||||||||||||||||||
| • | Wähle immer hochwertige Kondensatoren mit geeigneten/niedrigen Temperaturkoeffizient aus. | ||||||||||||||||||||||||
|
|||||||||||||||||||||||||
| • | Kleine Keramikkondensatoren sind bis 8 Watt Sendeleistung OK. | ||||||||||||||||||||||||
|
|||||||||||||||||||||||||
| • | Ein guter Kompromiss aus Güte und Abmessung ist, wenn man den Windungsabstand gleich dem Drahtdurchmesser wählt. Damit bleibt die Spulenkapazität im UKW Bereich klein. | ||||||||||||||||||||||||
|
|||||||||||||||||||||||||
| • | BNC-In und BNC-Out betragen 50 Ω. Das muss bei der "Suche" nach dem richtigen 50 Ω Abgreifpunkt auf der Spule beachtet werden und erfordert einiges Experimentieren. Einen Kurzschluss von Spulenwindungen, produziert durch Lötzinntropfen, ist unbedingt zu vermeiden. | ||||||||||||||||||||||||
|
|||||||||||||||||||||||||
| • | Ein Knackpunkt ist die richtige Kopplung von Eingangs- und Ausgangsspule. Der Einkoppelpunkt der Eingangsspule hat eine sehr hoher Impedanz, möglich sind einige KΩ. | ||||||||||||||||||||||||
|
|||||||||||||||||||||||||
| • | Die kapazitive Kopplung von Eingangs- zur Ausgangsspule erfordert eine sehr geringe Kapazität, wir sprechen hier von etwa 0.2 pF. Es muss experimentiert werden. Diese wird hier durch ein Stück isoliertem Kupferlack- oder versilberten Draht realisiert. Es darf keinen physischen Kontakt zur Auskoppelspule geben! | ||||||||||||||||||||||||
|
|||||||||||||||||||||||||
| • | Es sollte nicht groß überkoppelt werden. Es ist bei der Anpassung damit zu experimentieren, um gewünschte Kopplung zu erhalten. | ||||||||||||||||||||||||
|
|||||||||||||||||||||||||
| • | Je weiter man an den Hochimpedanzpunkt kommt, desto mehr Kopplung bekommt man. Die Drahtstärke vom Koppeldraht und die Verlegung haben einen nicht zu unterschätzenden Einfluss. | ||||||||||||||||||||||||
|
|||||||||||||||||||||||||
| • | Beim abschließenden Filterabgleich ist auf eine so gering wie mögliche Durchlassdämpfung zu achten. Aber ca. -1 bis -1.5 dB sind für diese Anwendung zu verkraften. | ||||||||||||||||||||||||
|
|||||||||||||||||||||||||
| • | Die Außenseiten der Box können mit selbstklebendem Band, das mit einer dünnen Aluminium- oder Kupferfolie bedampft ist, beklebt werden. | ||||||||||||||||||||||||
|
|||||||||||||||||||||||||
| • | Der genaue Kapazitätswert der Kondesatoren ist nicht ganz so kritisch, denn die Kreise des Bandpassfilters müssen sowieso abgestimmt werden, was über die entsprechende Induktivität durch ziehen oder stauchen der Windungen vorgenommen wird. | ||||||||||||||||||||||||
|
|||||||||||||||||||||||||
| • | Einen Hinweis zum Abgleich. Mit Spulen optimierst du an der unteren Frequenz und mit dem Trimmer an der oberen Frequenz. Der letzte Abgleich ist immer der mit einem Trimmer. | ||||||||||||||||||||||||
| |
|||||||||||||||||||||||||
| Filterabgleich | |||||||||||||||||||||||||
|
|||||||||||||||||||||||||
| Abgleichkontrolle mit Wobbler, Analyzer, NanoVNA. Trimmer auf Mittelstellung und wechselseitig auf minimale Durchgangsdämpfung bei z.B. 145.5 MHz einstellen. Alternativ mit Rauschgenerator und SDR-Spektrumanzeige oder Empfänger. Rauschgenerator am Eingang anschließen und am Ausgang 3 Frequenzen vergleichen: 135 MHz und 155 MHz sollten min 15dB abgesenkt werden, die Durchgangsdämpfung auf 145.5 MHz sollte max. 1.5 dB betragen. Durch leichtes Strecken oder Stauchen der Spule kann eine Feinabstimmung der Induktivität und damit der Frequenz erreicht werden. Ein Auseinanderziehen der Windungen verringert die Induktivität und führt zu einer Frequenzerhöhung. Der Abgleich ist bein ersten mal ein wenig Tricky, da 4 Kreise abgeglichen werden müssen. Und dann ist ja noch der Koppelkondensator. Ein paar Eckdaten -3 dB ca. 7 MHz, -6 dB ca. 10 Mhz, -60 dB ca. 53 MHz. |
|||||||||||||||||||||||||
|
|||||||||||||||||||||||||
![]() |
|||||||||||||||||||||||||
|
|||||||||||||||||||||||||
| Hier wurde über einen etwas größem Frequenzbereich gescannt. Die Signale außerhalb des 2m Bandes werden damit sehr effektiv unterdrückt. | |||||||||||||||||||||||||
|
|||||||||||||||||||||||||
![]() |
|||||||||||||||||||||||||
|
|||||||||||||||||||||||||
| Das Filter wurde für das 2m Amateurfunkband bei 145.425 MHz, der Bergfrequenz im 'Sächsischen Bergwettbewerb' optimiert. Die gemessene minimale Einfügedämpfung bei 144.425 MHZ beträgt rund 1,2 dB. Das ist schon mal ein aktzeptabler Wert, der durch etwas Feinabgleich noch optimiert werden kann. | |||||||||||||||||||||||||
|
|||||||||||||||||||||||||
![]() |
|||||||||||||||||||||||||
|
|||||||||||||||||||||||||
![]() |
|||||||||||||||||||||||||
|
|||||||||||||||||||||||||
| Hereingezoomt. Aufgezeichnet wurde der Durchlassbereich zwischen 130 MHz und 160 MHz. Die Einfügedämpfung bei 145.425 MHz ist bei ca. 1 dB. Bei 140 Mhz und 150 MHz beträgt sie bereits ca. 10 dB. Das Filter hat eine 3dB Bandbreite von ca. 8 MHz. | |||||||||||||||||||||||||
|
|||||||||||||||||||||||||
![]() |
|||||||||||||||||||||||||
|
|||||||||||||||||||||||||
| Das folgende Chart zeigt den Verlauf meiner Optimierungen auf, die durch nochmaligen Feinabgleich sicher noch etwas verbessert werden kann. Auf Diagramm klicken, dann wird im separaten Fenster das Diagramm groß angezeigt. |
|||||||||||||||||||||||||
![]() |
|||||||||||||||||||||||||
|
|||||||||||||||||||||||||
![]() |
|||||||||||||||||||||||||
|
|||||||||||||||||||||||||