 |
| L-Netzwerkanpassungen |
 |
|
|
|
|
 |
|
|
|
Die üblichen L-Netzwerk-Formeln zur Transformation einer Antennensystemimpedanz auf einen für den Sender geeigneten Wert gehen davon aus, dass die Antennenimpedanz ein reiner Widerstand ist. Diese Bedingung kommt aber in der Praxis sehr selten vor. Desshalb soll hier eine einfache die Kompensation einer komplexen Antennenlast an einem Beispiel anschaulich betrachtet werden. |
|
|
|
Gelöst werden sollen zwei fast immer auftretende Problemfälle. Das sind eine Kompensation des Blindwiderstandes des Antennensystems und eine Transformation der Wirkwiderstände. Die LC-Kombination der Abstimmeinheit soll den kapazitiven bzw. induktiven Blindanteil kompensieren und Leistungsanpassung herstellen, so dass die Antenne die zugeführte TRX-Leistung über den Strahlungswiderstand auch abstrahlt. Das gelingt bereits mit zwei Bauteilen aus der Bastelkiste. Man spricht von einem "L-Netzwerk", weil der Aufbaus wie ein "L" aussieht. Der große Vorteil ist die Eindeutigkeit, denn es ist nur EINE beste Anpassung für einen schmalen Frequenzbereich möglich. |
|
|
|
Es gibt heute preisgünstige Antennenanalysatoren zum Messen von Antennen- oder anderen komplexen Impedanzen mit ausreichender Genauigkeit für unsere Zwecke. Das wären z.B. RgExpert oder FA-VA 5. Mit den folgenden zwei Beispielen soll nachvollziehbar ein L-Netzwerk entworfen werden, das eine am Speisepunkt der Antenne gemessene Antennenimpedanz in die 50 Ω Widerstandslast umwandelt, die dein Sender verlangt. Oft sieht man Formeln für den Entwurf von L-Netzwerken die sich auf Fälle der Transformation reiner Widerstände beschränken. Leider ist eine Speisepunktimpedanz, die keine reaktive Komponente enthält, ungefähr so selten wie ein Sechser im Lotto. Dementsprechend wurden Formeln abgeleitet, um eine beliebige Lastimpedanz in einen reinen Widerstand mit beliebigem Wert umzuwandeln. Wichtig ist zu beachten, dass die Berechnung frequenzabhängig ist! |
|
|
 |
Das L-Netzwerk hat zwei mögliche Konfigurationen |
|
|
|
Wenn die Widerstandskomponente der Last (ANT)größer ist als der gewünschte Generatorwiderstand (TRX), befindet sich das parallele Element auf der Lastseite, wie in Abb.1 gezeigt. Antennenimpedanz Z=R+jX > TRX-Impedanz. |
|
|
|
Wenn umgekehrt die Widerstandskomponente der Last (ANT) kleiner als der gewünschte Generatorwiderstand (TRX) ist, befindet sich das parallele Element auf der Generatorseite, wie bei Abb.2 gezeigt. Antennenimpedanz Z=R+jX < TRX-Impedanz. |
|
|
|
Im Falle eines Lastwiderstandes, der gleich dem gewünschten Generatorwiderstand ist, ist es nicht notwendig, die Formeln zu verwenden, da es offensichtlich ist, dass nur die Blindkomponente kompensiert werden muss. Und dies kann durch ein einziges Reihenelement erreicht werden, das den gleichen numerischen Wert der Reaktanz hat wie die in der Last enthaltene, aber mit umgekehrtem Vorzeichen. Wenn man beispielsweise dem Sender eine 50 Ω Widerstandslast präsentiert, und die Antennenimpedanz 50 -j30 (kapazitiv) misst, würde man eine Induktivität mit einer Reaktanz von +j30 in Reihe mit der Antenne schalten. Der Sender sieht jetzt 50 - j30 + j30 oder einfach 50 Ω, resistiv. |
|
|
|
Die Formeln für die beiden Netzwerke in Abb. 1 und Abb. 2 sind unterschiedlich, also betrachten wir sie nacheinander und erarbeiten jeweils ein Beispiel. In all diesen Formeln bezieht sich der Index i auf den Eingangswiderstand und o auf die Ausgangsimpedanz des Netzwerks und Index "s" und "p" auf die seriellen bzw. parallelen Netzwerkreaktanzen. Wenn also versucht wird, einen Sender an eine Antenne anzupassen, stellt Ri die gewünschte Widerstandslast dar, die man dem Sender präsentieren möchte, und Ro + jXo stellt die tatsächliche Antennenimpedanz dar, die gemessen wurde. |
|
|
 |
L-Netzwerk als Abwärtstransformation |
|
|
|
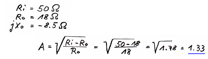
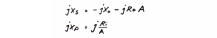
Ich beginne mit dem Fall, wo der Widerstandsanteil unserer Last (Ro) kleiner ist als der gewünschte Eingangswiderstand (Ri). Siehe dazu folgende Netzwerkskizzen und Formeln. Der Faktor A wurde eingeführt, um die Arithmetik zu vereinfachen. Der Sender, der für den Betrieb an einer 50 Ω Widerstandslast ausgelegt ist, konnte die Antenne bei 3,2 MHz nicht abstimmen. Die Messung an der Antenne mit dem Antennenanalyser zeigte den Grund. Eine gemessene Impedanz von 18 -j8,5 bei 3.2 MHz.
|
|
|
|
 |
|
|
|
Formeln und Konfiguration für den Fall, dass die Widerstandskomponente der Lastimpedanz kleiner ist als die gewünschte Last für den Sender.
|
|
|
|
Ein mögliches Vorgehen, um das erforderliche L-Netzwerk zu entwerfen.
|
|
|
|
 |
|
|
|
Das Pluszeichen sagt mir, dass die erforderliche Reaktanz induktiv ist. Die Induktivität, die erforderlich wird, um eine Reaktanz von 32,5 Ω bei 3,2 MHz zu erzielen, ist dann wie folgt.
|
|
|
|
 |
|
|
|
Wie im wahren Leben gibt es auch hier eine zweite Seite der Madaille. Erwähnen möchte ich noch ein weiteres Reaktanzwert-Paar, das die gleiche Aufgabe erfüllt, wenn die induktiven und kapazitiven Elemente vertauscht werden.
|
|
|
|
Induktive und kapazitive Elemente in einem L-Netzwerk können mit geeigneten Wertänderungen vertauscht werden, wie im Text schon gesagt. Die hier gezeigten Werte beziehen sich auf das Beispiel, bei dem eine gemessene Antennelast 18 -j8,5 bei 3,2 MHz transformiert wurde bis der Sender den geforderten 50 Ω Wirkwiderstand sieht.
|
|
|
|
Die erforderlichen Werte können auf die gleiche Weise wie im Beispiel angegeben berechnet werden, jedoch unter Verwendung der folgenden Formeln.
|
|
|
|
 |
|
|
|
Wobei A dieselbe Bedeutung hat, die zuvor angegeben wurde. Unter Verwendung der Daten des bereits verwendeten Beispiels ergeben diese Formeln die folgenden Ergebnisse.
|
|
|
|
Das Minuszeichen sagt mir, dass diese Reaktanz kapazitiv ist. Die Kapazität, die erforderlich wird, um eine Reaktanz von 37,6 Ω bei 3,2 MHz bereitzustellen, ist dann folgende.
|
|
|
|
 |
|
|
|
Es kann sich lohnen, die Werte in beide Richtungen zu berechnen und die Anordnung zu wählen, die Ihnen am besten gefällt.
|
|
|
 |
L-Netzwerk als Aufwärtstransformation |
|
 |
|
|
|
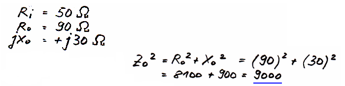
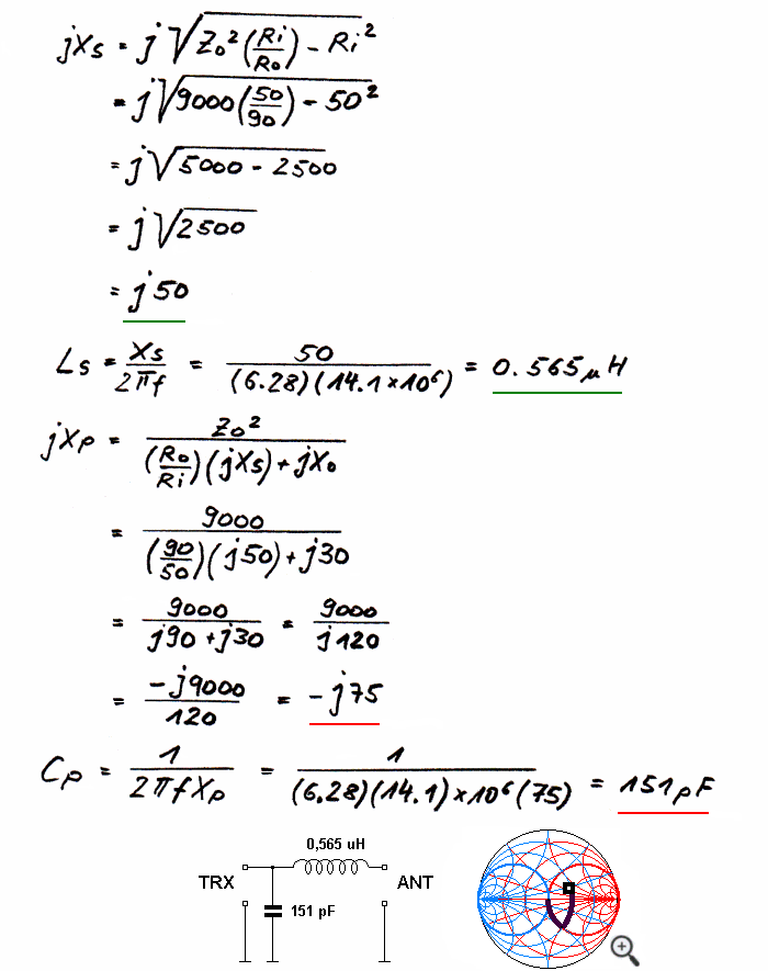
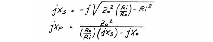
Netzwerkskizze, Konfiguration und Formeln eines L-Netzwerks für den Fall, dass die ohmsche Komponente der Lastimpedanz größer ist als die gewünschte Last für den Sender. Die andere Netzwerkkonfiguration ist zu verwenden, wenn der ohmsche Teil der Last (Ro) größer ist als der gewünschte Eingangswiderstand (Ri). |
|
|
|
 |
|
|
|
 |
|
|
|
Wie in dem vorherigen Fall gibt es ein weiteres Wertepaar, das ebenfalls die gleiche Aufgabe erfüllt und mit den folgenden Formeln ilustriert wird. |
|
|
|
Unter erneuter Verwendung unserer gleichen Daten liefern diese Formeln die folgenden Ergebnisse. |
|
|
|
Wichtige Anmerkung: Das j wird mit einem Vorzeichenwechsel vom Nenner zum Zähler verschoben. Erreicht wird das, indem sowohl Zähler als auch Nenner mit -j multipliziert werden. |
|
|
|
 |
|
|
|
 |
|
|
|
Ein Netzwerk, das diese Werte verwendet, würde die gleiche Impedanzanpassung durchführen wie das vorhergehende. |
|
|
|
Als abschließende Bemerkung, die für beide Netzwerkkonfigurationen gilt, möchte ich darauf hinweisen, dass in einigen Fällen sowohl Reihen- als auch Parallelschaltungen von der gleichen Art sind, L oder C. Wenn du also zu diesem Ergebnis kommt, muss dies nicht unbedingt falsch sein und auf einen Rechenfehler hindeuten. Ein gutes Werkzeug bei der Berechnung und Kontrolle des L-Netzwerks ist das Smith Chart von Fritz Dellsperger. |
|
|
|
Bei ungünstigen Antennenimpedanzen, Antenne viel zu kurz, treten erhebliche Ströme und Spitzenspannungen im LC-Netzwerk auf. Das ist gerade bei der Spannungsfestigkeit der Kondensatoren zu beachten. All diese Berechnungen berücksichtigen keine Verluste im LC-Netzwerk und im Antennensystem. Diese Netzwerke haben es mir sehr gut ermöglicht, meine QRP-Transceiver einfach an die verschiedenen Antennen anzupassen.
Endgespeiste Halbwellenantenn mit L-Glied richtig angepasst |
|
|
|
Jetzt kannst du in kurzer Zeit Eisenstäbe, Metallfahnenstangen, nasse Schnüre gut auf 50 +j0 anpassen. Bitte lächeln ... |
|
|
|
 |